PHƯƠNG PHÁP ĐO ĐỘ CỨNG BRINELL
Phương pháp đo độ cứng Brinell được đề xuất bởi kỹ sư người Thụy Điển Johan August Brinell vào năm 1900, đây là phương pháp kiểm tra độ cứng vật liệu đầu tiên được tiêu chuẩn hóa và sử dụng rộng rãi trên toàn thế giới.
Nguyên lý thực hiện
Phương pháp Brinell xác định độ cứng dựa trên khả năng chống lại sự biến dạng dẻo của vật liệu khi chịu tác động từ một vật đè.
Quy trình: Sử dụng một viên bi thép cứng hoặc tungsten carbide (cacbit vonfram) có đường kính D ấn vào bề mặt mẫu thử dưới một lực P xác định. Sau khi duy trì lực trong khoảng 10-30 giây, lực được rút ra, để lại một vết lõm hình chỏm cầu.
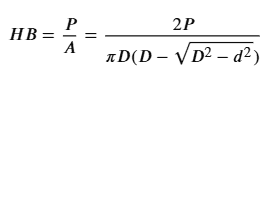
Chỉ số độ cứng (HB): Được tính bằng tỷ số giữa tải trọng (P) và diện tích bề mặt vết lõm (A):
(Trong đó d là đường kính trung bình của vết lõm đo được bằng kính hiển vi).
Ưu điểm và Hạn chế
Ưu điểm:
- Tính đại diện cao: Do vết lõm lớn, kết quả phản ánh độ cứng tổng thể của vật liệu, không bị sai lệch bởi các điểm không đồng nhất cục bộ (rất tốt cho gang, thép đúc).
- Bề mặt không cần quá bóng: Ít nhạy cảm với độ nhám bề mặt hơn so với phương pháp Rockwell hay Vickers.
- Dự đoán độ bền: Có mối tương quan chặt chẽ với giới hạn bền kéo của thép.
Hạn chế:
- Gây hư hại mẫu: Vết lõm lớn nên không dùng được cho chi tiết thành phẩm cần độ thẩm mỹ.
- Giới hạn vật liệu: Không phù hợp cho các mẫu quá mỏng hoặc vật liệu quá cứng (trên 650 HBW) vì gây biến dạng chính đầu đo.
Ứng dụng thực tế
Phương pháp Brinell là "tiêu chuẩn vàng" trong các ngành công nghiệp nặng:
- Kiểm định phôi đúc và rèn: Dùng cho các chi tiết lớn như thân máy, trục khuỷu, bánh răng hạng nặng.
- Ngành đường sắt và khai khoáng: Đo độ cứng của đường ray, bánh xe lửa, lưỡi máy xúc và máy nghiền đá.
- Sản xuất thép: Kiểm tra nhanh độ cứng của thép thanh, thép tấm ngay tại xưởng bằng thiết bị đo cầm tay.
- Công nghiệp hàng không: Xác định đặc tính cơ lý của các hợp kim nhôm và linh kiện chịu lực cao.
Tiêu chuẩn áp dụng
- Quốc tế: ISO 6506, ASTM E10.
- Việt Nam: TCVN 256-1:2006.
